7 клас
алгебра
геометрія
математика
українська мова
англійська мова
французька мова
історія України
всесвітня історія
українська література
зарубіжна література
біологія
географія
фізика
хімія
Головна
ГДЗ
7 клас
Алгебра
Істер
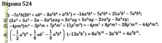
Вправа 524 алгебра Iстер гдз 7 клас
Вправа 524 алгебра Iстер гдз 7 клас
7 клас
алгебра Істер
реклама