7 клас
алгебра
геометрія
математика
українська мова
англійська мова
французька мова
історія України
всесвітня історія
українська література
зарубіжна література
біологія
географія
фізика
хімія
Головна
ГДЗ
7 клас
Математика
Істер
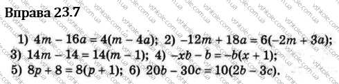
Вправа 23.7 гдз 7 клас математика Істер О.С. 2024
Вправа 23.7 гдз 7 клас математика Істер О.С. 2024
Розв'язання:
реклама
";