9 клас
алгебра
геометрія
українська мова
англійська мова
хімія
Головна
ГДЗ
9 клас
Алгебра
Істер
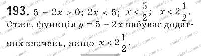
Вправа 193 алгебра Істер гдз 9 клас
Вправа 193 алгебра Істер гдз 9 клас
ГДЗ 9 клас
ГДЗ алгебра Істер
реклама
";