9 клас
алгебра
геометрія
українська мова
англійська мова
хімія
Головна
ГДЗ
9 клас
Алгебра
Мерзляк Полонський Якір
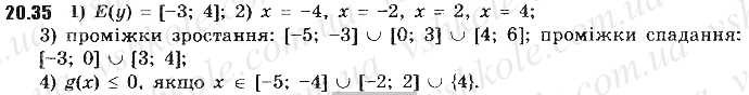
Вправа 20.35 алгебра Мерзляк гдз 9 клас
Вправа 20.35 алгебра Мерзляк гдз 9 клас
ГДЗ 9 клас
ГДЗ алгебра Мерзляк
реклама
";